В помощь ульяновцам: проверяем коммунальные платежи
За квартиры и дома ульяновцы платят по новым ценам.
В августе начались платежи за коммунальные услуги июля. Тарифы в платежках новые, повышенные. Поскольку с 1 июля в Ульяновской области подняли плату за ЖКУ в среднем на 8-9%.
В редакцию сайта «Главные Новости Ульяновска» обратился житель города. Рассказал, что жителям частных домов при оплате коммунальных услуг приходится сложно — стоимость услуг приходится искать самостоятельно, на разных сайтах или обзванивать по телефонам разные организации, затрачивая при этом много времени.
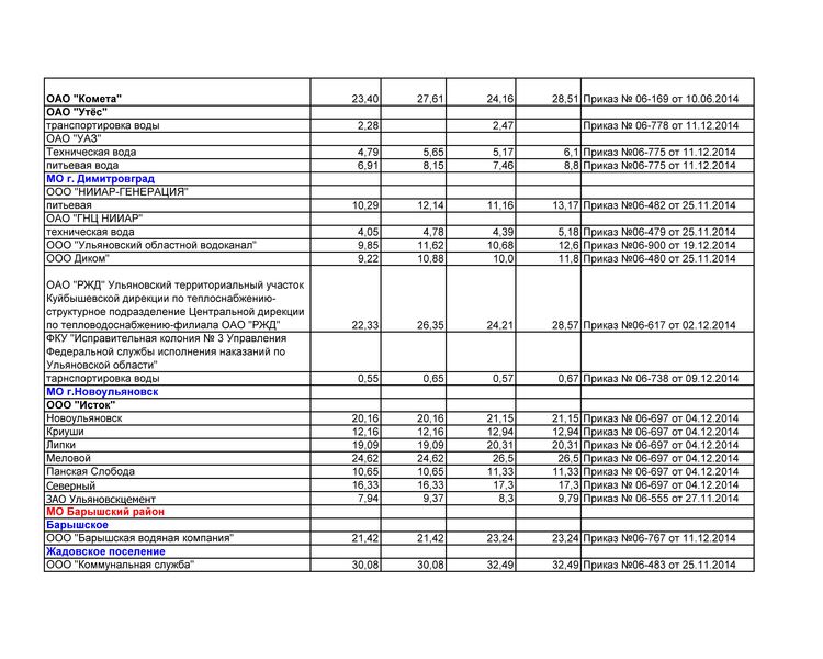
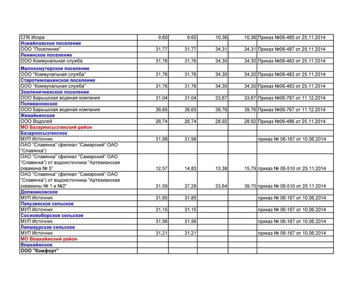
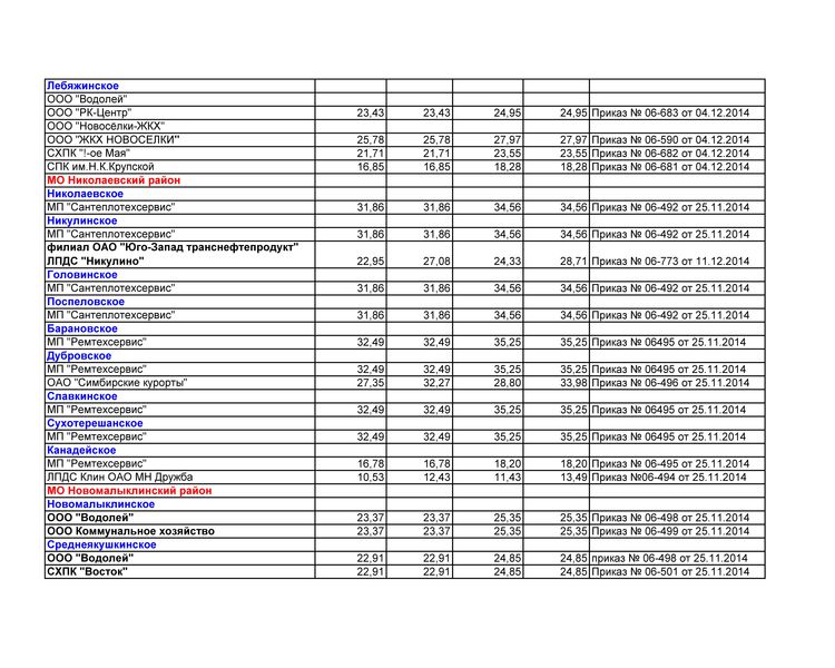
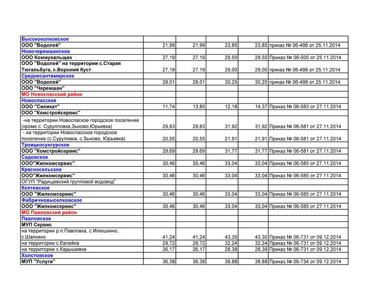
Мы решили помочь ульяновцам и собрать все тарифы воедино. И, во-первых, необходимо помнить, что стоимость коммунальных услуг зависит от того, какая компания их оказывает. Так как у разных компаний стоимость одной и той же услуги может отличаться.
Газоснабжение
Электроэнергия
Холодное водоснабжение
Водоотведение
Утилизация ТБО
Фото из фотобанка


































